- 雷達液位計料位計系列產品
- 壓力/液位/差壓/密度變送器
- 液位儀表系列
- 流量儀表系列
- 物位儀表系列
- 液位/溫度/壓力/流量-報警儀
- PLC/DCS自動化控制監控系統
- GPRS無線遠傳裝置
- 有紙/無紙記錄儀系列
- 溫度儀表系列
- 分析儀|檢測儀|校驗儀系列
全國銷售熱線:400-9280-163
電話:86 0517-86917118
傳真:86 0517-86899586
銷售經理:1560-1403-222 (丁經理)
??? ? ? ? 139-1518-1149 (袁經理)
業務QQ:2942808253 / 762657048
網址:http://m.ccsso.com.cn
電話:86 0517-86917118
傳真:86 0517-86899586
銷售經理:1560-1403-222 (丁經理)
??? ? ? ? 139-1518-1149 (袁經理)
業務QQ:2942808253 / 762657048
網址:http://m.ccsso.com.cn
運用有限元軟件對管道測量中電磁流量計敏感場影響研究
發表時間:2019-11-08 ??點擊次數:607? 技術支持:1560-1403-222
摘要:運用有限元軟件ANSYS對電磁流量計中存在非導電物體建立的仿真模型,研究了不同內徑管道對電磁流量計敏感場響應特性的影響,為電磁流量計測量兩相流時傳感器電極尺寸設計提供一定的參考,也為電磁流量計在一定管徑下兩相流測量的誤差分析提供理論依據。
0引言
電磁流量計是一種利用電磁感應原理進行測量的儀表。電磁流量計應用于多相流中時具有獨特的優點,如對流速分布不太敏感,管道中無阻礙流動的部件等。近年來,在一些特殊領域中電磁流量計逐步開始應用于多相流流速的測量。許多學者對電磁流量計在多相流的測量問題上開始了研究。張小章在簡化的二維模型下分別求解了單個氣泡處于流量計管軸線和橫截面不同位置時虛電流的分布情況,并對流體中含有一個氣泡時電磁流量計虛電流的三維特性進行了研究;運用2個流量計來計算空隙率的大小;對電磁流量法測量油氣水多相流進行了一系列的研究。本文運用有限元軟件ANSYS對電磁流量計中存在非導電物體建立仿真模型,在此模型下研究了流量計傳感器的管直徑大小與非導電物質大小變化對流量計敏感場影響。研究結果可為電磁流量計在一定管徑下兩相流測量誤差提供一定的分析依據。
1敏感場靈敏度定義
當導電流體流過外加磁場時,作切割磁力線運動。根據法拉第電磁感應定律,通過測量感應電動勢的值來求出流體速度和流量。這就是電磁流量計測量流量的基本原理。當流體中出現非導電物質時,會使感應電動勢的分布發生變化。電磁流量計的基本方程:

式中:U為兩電極的電勢差;A為對空間積分;W為矢量權函數,它是一個只由電磁流量計本身結構決定的量,其表達式為

式中:為虛電流密度,是一個完全由A上的電邊界條件所決定的量;B為磁感應強度。虛電流是電磁流量計理論中一個重要的量。它決定著電磁流量計測量區域權重函數分布情況。
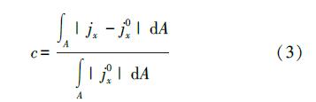
也就決定著電磁流量計內部敏感場分布情況。為了定量地考查電磁流量計內部非導電物質對電磁流量計敏感場的分布影響,定義c為敏感場靈敏度,其定義如式(3)所示:

2.2仿真實驗
仿真實驗中,設定通過電磁流量計的非導電物質大小不變,流量計內壁管徑的直徑設定為0.8R,R,1.2R,1.4R,1.6R,流量計流體中設定半徑為0.1R的非導電物質通過電磁流量計的中心軸,對電磁流量計中流體的虛電流進行考查,以獲得流體中相同大小非導電物質對不同半徑管道的電磁流量計敏感場影響情況。為了節省篇幅,這里只顯示其中一個實驗的部分仿真圖,如圖2所示。從仿真結果可以發現不同管徑大小對電磁流量計的虛電流分布是有一定影響的,但這些分布性的仿真結果無法較好地在數值上給予電極大小與管徑變化對流量計敏感場影響大小情況的說明。下面將在仿真結果分析中通過敏感場靈敏度c對仿真數據分析。

3仿真結果分析
為了詳實地考查管直徑變化下對流量計敏感場靈敏度影響,運用敏感場靈敏度c分別對每個仿真實驗進行分析并對比實驗結果。
圖3為不同大小內徑管道與流量計敏感場靈敏度關系圖,橫軸表示非導電物質在電磁流量計y軸的位置,縱軸為敏感場靈敏度c,圖中各條線分別代表了不同測量管徑大小時非導電物質在不同位置時敏感場靈敏度c的變化情況。
對于半徑一定的(本例為0.1R)非導電物質,管道半徑越大,在電極(y軸坐標原點)附近非導電物質對電磁流量計的敏感場靈敏度c的響應特性就越小,仿真實驗也可以說明,當電磁流量計管道半徑變小萬方數據時,非導電物質對電磁流量計的敏感場靈敏度影響在

電極(y軸坐標原點)附近變化是比較快的;流量計管道半徑變大時,非導電物質對電磁流量計的敏感場靈敏度影響在電極附近變化變得緩慢。仿真實驗可得出:在電磁流量計電極一定時,根據測量流體中非導電物質的大小以及電磁流量計管道半徑可以估計出該電磁流量計的兩相流測量精度(敏感場靈敏度響應情況),為測量兩相流的電磁流量計傳感器誤差分析提供一定分析依據。
4結束語
本文運用有限元軟件對流體中含有非導電物質時對電磁流量計敏感場響應特性進行建模仿真,通過模型分析了流量計管道內徑大小與流量計的敏感場靈敏度響應特性的關系。研究結果為一定管徑下電磁流量計兩相流測量的誤差分析提供一定的理論依據。
上一條:電磁流量計在油田注聚剖面測井中的測量特性分析
下一條:液位變送器等工業儀表應用中關于膜片選型的幾點建議(附案例)
0引言
電磁流量計是一種利用電磁感應原理進行測量的儀表。電磁流量計應用于多相流中時具有獨特的優點,如對流速分布不太敏感,管道中無阻礙流動的部件等。近年來,在一些特殊領域中電磁流量計逐步開始應用于多相流流速的測量。許多學者對電磁流量計在多相流的測量問題上開始了研究。張小章在簡化的二維模型下分別求解了單個氣泡處于流量計管軸線和橫截面不同位置時虛電流的分布情況,并對流體中含有一個氣泡時電磁流量計虛電流的三維特性進行了研究;運用2個流量計來計算空隙率的大小;對電磁流量法測量油氣水多相流進行了一系列的研究。本文運用有限元軟件ANSYS對電磁流量計中存在非導電物體建立仿真模型,在此模型下研究了流量計傳感器的管直徑大小與非導電物質大小變化對流量計敏感場影響。研究結果可為電磁流量計在一定管徑下兩相流測量誤差提供一定的分析依據。

1敏感場靈敏度定義
當導電流體流過外加磁場時,作切割磁力線運動。根據法拉第電磁感應定律,通過測量感應電動勢的值來求出流體速度和流量。這就是電磁流量計測量流量的基本原理。當流體中出現非導電物質時,會使感應電動勢的分布發生變化。電磁流量計的基本方程:

式中:U為兩電極的電勢差;A為對空間積分;W為矢量權函數,它是一個只由電磁流量計本身結構決定的量,其表達式為

式中:為虛電流密度,是一個完全由A上的電邊界條件所決定的量;B為磁感應強度。虛電流是電磁流量計理論中一個重要的量。它決定著電磁流量計測量區域權重函數分布情況。
也就決定著電磁流量計內部敏感場分布情況。為了定量地考查電磁流量計內部非導電物質對電磁流量計敏感場的分布影響,定義c為敏感場靈敏度,其定義如式(3)所示:

2.2仿真實驗
仿真實驗中,設定通過電磁流量計的非導電物質大小不變,流量計內壁管徑的直徑設定為0.8R,R,1.2R,1.4R,1.6R,流量計流體中設定半徑為0.1R的非導電物質通過電磁流量計的中心軸,對電磁流量計中流體的虛電流進行考查,以獲得流體中相同大小非導電物質對不同半徑管道的電磁流量計敏感場影響情況。為了節省篇幅,這里只顯示其中一個實驗的部分仿真圖,如圖2所示。從仿真結果可以發現不同管徑大小對電磁流量計的虛電流分布是有一定影響的,但這些分布性的仿真結果無法較好地在數值上給予電極大小與管徑變化對流量計敏感場影響大小情況的說明。下面將在仿真結果分析中通過敏感場靈敏度c對仿真數據分析。

3仿真結果分析
為了詳實地考查管直徑變化下對流量計敏感場靈敏度影響,運用敏感場靈敏度c分別對每個仿真實驗進行分析并對比實驗結果。
圖3為不同大小內徑管道與流量計敏感場靈敏度關系圖,橫軸表示非導電物質在電磁流量計y軸的位置,縱軸為敏感場靈敏度c,圖中各條線分別代表了不同測量管徑大小時非導電物質在不同位置時敏感場靈敏度c的變化情況。
對于半徑一定的(本例為0.1R)非導電物質,管道半徑越大,在電極(y軸坐標原點)附近非導電物質對電磁流量計的敏感場靈敏度c的響應特性就越小,仿真實驗也可以說明,當電磁流量計管道半徑變小萬方數據時,非導電物質對電磁流量計的敏感場靈敏度影響在

電極(y軸坐標原點)附近變化是比較快的;流量計管道半徑變大時,非導電物質對電磁流量計的敏感場靈敏度影響在電極附近變化變得緩慢。仿真實驗可得出:在電磁流量計電極一定時,根據測量流體中非導電物質的大小以及電磁流量計管道半徑可以估計出該電磁流量計的兩相流測量精度(敏感場靈敏度響應情況),為測量兩相流的電磁流量計傳感器誤差分析提供一定分析依據。
4結束語
本文運用有限元軟件對流體中含有非導電物質時對電磁流量計敏感場響應特性進行建模仿真,通過模型分析了流量計管道內徑大小與流量計的敏感場靈敏度響應特性的關系。研究結果為一定管徑下電磁流量計兩相流測量的誤差分析提供一定的理論依據。
上一條:電磁流量計在油田注聚剖面測井中的測量特性分析
下一條:液位變送器等工業儀表應用中關于膜片選型的幾點建議(附案例)
- 相關文章
-
- 雷達液位計的作用 【2025-11-18】
- 雷達液位計使用注意事項 【2025-11-18】
- 雷達液位計安裝注意事項全解析 【2025-11-14】
- 雷達液位計工作原理及相關說明 【2025-11-14】
- 電子液位變送器的作用有哪些 【2023-12-15】
- 磁翻板液位變送器公司 【2024-01-08】
- 磁翻板液位計故障檢測常用的8種方法 【2015-07-28】
- 投入式液位變送器調試維修 【2024-01-06】
- 液位變送器進水解決辦法 【2023-12-19】
- 水箱液位變送器超量程 【2023-12-27】








